I recently wrote about a group of high-flying kids who blew my mind with their work on this question that they chose:
There’s a projectile launched with an initial height of 20 feet with an initial velocity of 50 ft/sec. We want it to land 70 feet away. Under normal gravity, what angle is necessary?
Given what the kids managed to already pull off on this project, you’d think this would be a breeze. They did a lot of work to get to an equation, which theoretically should have resulted in the exact angle of launch necessary. It was a little complicated, according to Desmos:

But they created a slider for a, worked with me to come up with a couple work-arounds, and the result was a near-perfect approximation of the correct angle. Problem solved, case closed.
Of course, they weren’t satisfied. I’ve been saying all year that doing a math problem isn’t a process that ends once you get an answer. You should always see where else it can go; what new questions can you answer? What creations can you make? With that in mind, I get an e-mail from one of them who clearly isn’t ready to move on:
We managed to simplify the equation a little bit more:
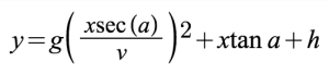
Where x&y are the target coordinates a is the angle, v is the velocity, and h is the hight of the launch. Our final goal is to create an equation where you can input any target, any velocity, and any height, and find the angle necessary to hit the target.
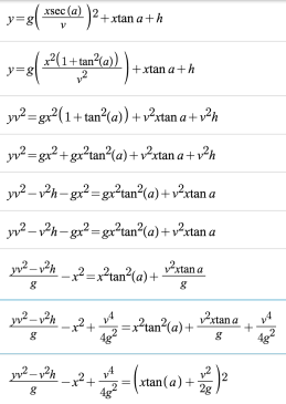
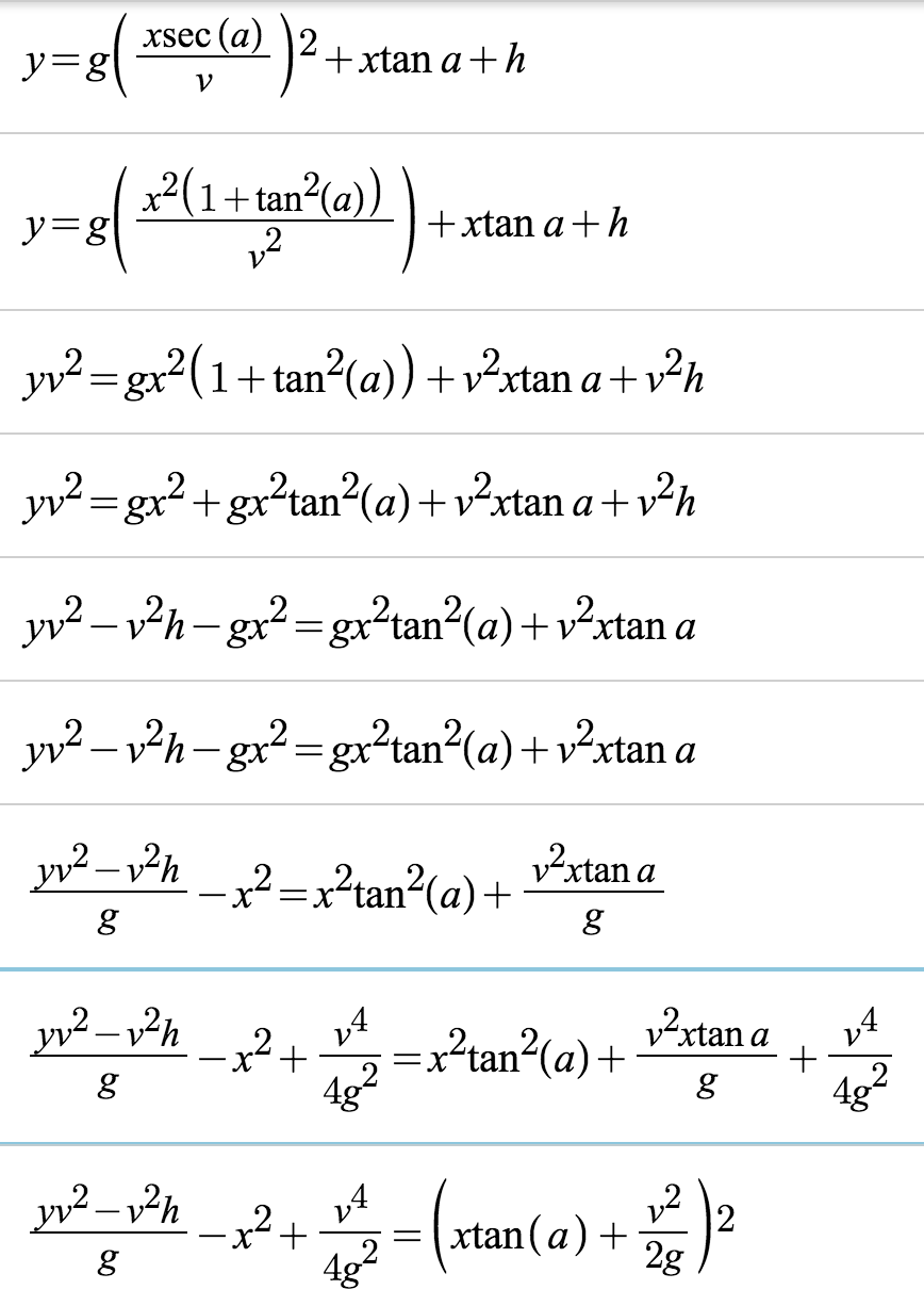
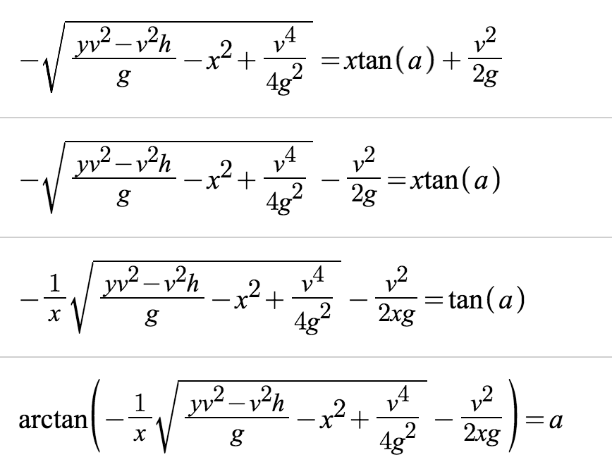
What a goal! They wanted to solve an equation that Desmos couldn’t. This would take some new tricks. The key was discovering (via Wikipedia) that sec2 = 1 + tan2
From there, it was a lot of re-arranging and re-writing of this equation, which Desmos made very easy (I’ve written about how Desmos makes re-arranging an equation oh so pleasant here). I can’t find the Desmos doc containing all their steps, but I’ve more or less recreated it below (and linked here):
At the risk of sounding like a broken record, Desmos is amazing. As a teacher pushing kids to explore and experiment and push, push, push, it’s the dream tool. I dare you to try to untangle the steps above on paper.
True: the goal that the students stated in the e-mail wasn’t accomplished yet, but what a huge step in the right direction. And are you confident that they’ll get there? We’re in the After Desmos era – anything’s possible.


